PV( )
Returns the present value of an investment.
Syntax
PV(<payment expN>, <interest expN>, <term expN>)
<payment expN>
The amount of the periodic payment. Specify the payment in the same time increment as the interest and term. The payment can be negative or positive.
<interest expN>
The interest rate per period expressed as a positive decimal number. Specify the interest rate in the same time increment as the payment and term.
<term expN>
The number of payments. Specify the term in the same time increment as the payment and interest.
Description
PV( ) is a financial function that calculates the original principal balance (present value) of an investment. PV( ) returns a float that is the amount to be repaid with equal periodic payments at a fixed interest rate compounding over a fixed length of time. For example, use PV( ) if you want to know how much you need to invest now to receive regular payments for a specified length of time.
Express the interest rate as a decimal. For example, if the annual interest rate is 9.5%, <interest expN> is .095 (9.5 / 100) for payments made annually.
Express <payment expN>, <interest expN>, and <term expN> in the same time increment. For example, if the payment is monthly, express the interest rate per month, and the number of payments in months. Express an annual interest rate of 9.5%, for example, as .095/12, which is 9.5/100 divided by 12 months.
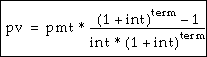
The formula dBASE Plus uses to calculate PV( ) is as follows:

where int = rate 100
For the present value of an investment earning 9% interest, to be paid at $350 monthly for five years, the formula expressed as a dBL expression looks like this:
? PV(350,.09/12,60) // Returns 16860.68
nTemp = (1 + .09/12)^60
? 350*(nTemp-1)/(.09/12*nTemp) // Returns 16860.68
In other words, you have to invest $16,860.68 now into an account paying an interest rate of 9% annually to receive $350/month for the next five years.
Use SET DECIMALS to set the number of decimal places PV( ) displays.